website traffic statistics

Read This Also

analia saban one size unique 100 cotton clothing tag for sale artspace

analia saban one size unique 100 cotton clothing tag for sale artspace

waterproof canvas fabric outdoor 600 denier indoor outdoor fabric by the yard pu backing w r uv 2times good pu color ivory 1 yard amazon ca home

waterproof canvas fabric outdoor 600 denier indoor outdoor fabric by the yard pu backing w r uv 2times good pu color ivory 1 yard amazon ca home

led nail lamp 80w nail dryer machine uv lamp curing uv gel nail polish dryer machine with motion sensing lcd display nail dryers aliexpress

led nail lamp 80w nail dryer machine uv lamp curing uv gel nail polish dryer machine with motion sensing lcd display nail dryers aliexpress

mixed criticality scheduling of probabilistic real time systems springerlink

mixed criticality scheduling of probabilistic real time systems springerlink

propak asia 2012 list of participants bangkok exhibition services ltd

propak asia 2012 list of participants bangkok exhibition services ltd

oatmeal colored blazer jacket light beige linen blend blazer light beige cotton blend jacket women s clothing clothing valresa com

oatmeal colored blazer jacket light beige linen blend blazer light beige cotton blend jacket women s clothing clothing valresa com

https arxiv org pdf 2003 12590

https arxiv org pdf 2003 12590

formal verification of robotic cell injection systems sciencedirect

formal verification of robotic cell injection systems sciencedirect

alapaste rectangle 8 x 8 sun shade sail canopy with rope waterproof block sun shade uv block for patio outdoor facility and activities amazon ca patio lawn garden

alapaste rectangle 8 x 8 sun shade sail canopy with rope waterproof block sun shade uv block for patio outdoor facility and activities amazon ca patio lawn garden

https arxiv org pdf 2003 12590

https arxiv org pdf 2003 12590

mixed criticality scheduling of probabilistic real time systems springerlink

mixed criticality scheduling of probabilistic real time systems springerlink

propak asia 2012 list of participants bangkok exhibition services ltd

propak asia 2012 list of participants bangkok exhibition services ltd

soleil girls uv suit striped bordeaux nature girls stripes striped swimwear

soleil girls uv suit striped bordeaux nature girls stripes striped swimwear

year s stockton folk dance camp

year s stockton folk dance camp

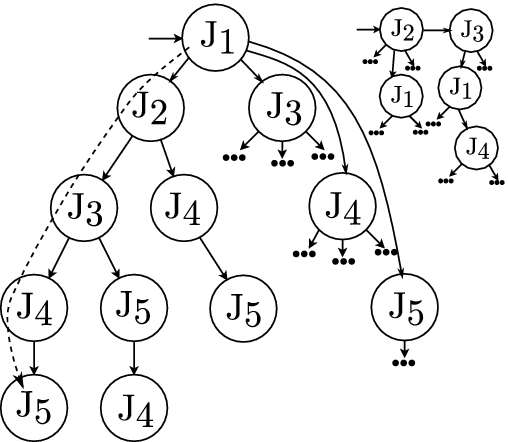
non polynomial worst case analysis of recursive programs

non polynomial worst case analysis of recursive programs

10pcs 3w high power led uv light chip 365nm 375nm 385nm 395nm 400nm 415nm 430nm ultra violet with 20mm star pcb diy light led bike led strip lightled outside light fixtures aliexpress

10pcs 3w high power led uv light chip 365nm 375nm 385nm 395nm 400nm 415nm 430nm ultra violet with 20mm star pcb diy light led bike led strip lightled outside light fixtures aliexpress

mixed criticality scheduling of probabilistic real time systems springerlink

mixed criticality scheduling of probabilistic real time systems springerlink

best silk pajamas for women shorts pink silk pajamas set summer silk s slipintosoft

best silk pajamas for women shorts pink silk pajamas set summer silk s slipintosoft

traveller sunhat upf40 by stetson

traveller sunhat upf40 by stetson

t shirts

t shirts

https arxiv org pdf 2003 12590

https arxiv org pdf 2003 12590

baby long sleeve zip swim suit navy daisy fields cancer council shop

baby long sleeve zip swim suit navy daisy fields cancer council shop

tweedehands vuurkorf tristar l bed trip ikea batterijen u lampen uv tafel uit deco lamp tweedehands op lamp geluid urban lampe tuinmeubelen stoel trio maken twf nieuwegein tripod hosting uv salontafel uit lampen tussenstuk toilette tulp asten hout